Hizmetlerimiz

Hizmetlerimiz

Yapı-Kazık-Zemin Etkileşim Analizleri

Yapı-Kazık-Zemin Etkileşimi (YKZE) TBDY 2018 uyarınca belirlenen koşullarda zorunludur. Bu hesapların gerçekleştirilmesi için birçok aşama gerektiği için çoklu-disiplinli, mühendislik kavramlarına hakimiyet, veri yönetimi gibi konuları haiz olmayı gerektirir. Bu alandaki tecrübemizle hesaplamalarını Grasshopper gibi yazılım araçlarıyla bina/temel modelini gerçeğe en yakın değerlerle oluşturup nümerik analiz altlığını 3 boyutlu bir şekilde oluşturabiliyoruz. Böylece temel-kazık-zemin sisteminin ekonomi/güvenlik optimizasyonunu çok daha hızlı bir şekilde elde edebiliyoruz.

Sonlu elemanlar/Sonlu hacimler yöntemiyle karmaşık zemin-yapı-kazık sistemlerini hassasiyetle modelliyor, doğrusal olmayan malzeme özellikleri ve büyük deformasyonları dikkate alarak tasarımların en doğru bir şekilde yapabiliyoruz. Modelleme sonucunda sismik yükler altında yapı-kazık-zemin etkileşimi neticesinde performans değerlendirmesi yapıyoruz. Derin temeller için oturma ve taşıma gücü ile birlikte efektik gerilme değişiminin dikkate alındığı sıvılaşma analizleri gerçekleştirerek tasarımın gerçeğe en yakın bir şekilde olmasını hedefliyoruz.

YKZE analizleri, yapıların güvenliğini artırırken optimum tasarım ve maliyet etkinliği sağlamaktadır. Raporlarımız, projenin tüm aşamalarında güvenilir bir referans kaynağı oluşturmaktadır.

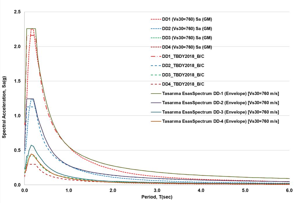
Sahaya Özel Deprem Tehlikesinin Belirlenmesi

Geoproje olarak, projelerinizin güvenli, uyumlu ve yerel koşullara en uygun şekilde optimize edilmesini sağlamak için kesin ve saha özelinde deprem tehlikesi değerlendirmeleri sunuyoruz. Deprem Yönetmeliği'ne uygun olarak titizlikle gerçekleştirdiğimiz analizler, en güncel sismolojik veriler ve ileri düzey olasılık modelleri kullanılarak güvenilir bir uniform tehlike spektrumu oluşturur.

Detaylı saha özelinde fay modellemeleri ile yerel zemin koşullarına bağlı amplifikasyon etkilerini dikkate alarak, tüm ilgili değişkenleri kapsamlı bir şekilde değerlendiriyoruz. Bu spektrum, yapınızın periyoduna uygun deprem seçimi ve doğrusal çözümler için kritik bir temel oluşturur.

Yaklaşımımız, yalnızca teknik açıdan titiz olmakla kalmaz, aynı zamanda müşteri odaklıdır. Amacımız, riskleri en aza indirmek ve düzenleyici uyumu sağlamak için size gerekli veri ve içgörüleri sunmaktır. Geoproje ile projelerinizin en güncel analizlerden faydalandığından, güvenliğinin ve performansının artırıldığından emin olabilirsiniz

Özel Yazılım Çözümleri

Proje süreçlerinizin takip edilmesi, otomasyonun kurulması gibi konularda şirketlere özel çözümler sunmaktayız.

Modern teknolojileri kullanarak, iş akışınızı optimize ediyoruz. Projenize uygun yazılımlar tasarlayıp bilgi birikimimizden faydalanarak karar verme sürecinizi hızlandırıyor, ölçeklenebilir çözümlemelerimiz sayesinde sizin için optimal, bütçe dostu teklifler sunuyoruz.

İksa Tasarımı

Ulusal ve Uluslarası İksa Yönetmelikleri çerçevesinde, geçici/kalıcı uygulanabilir proje tasarımları gerçekleştirmekteyiz. Karbon salınımı azaltmaya yönelik gerçekleştirdiğimiz değer mühendisliği hem kaliteli mühendislik hizmetini hem de çevre koruma bilincini ortaya çıkarmaktadır.  

Metro-Bina Etkileşim Analizi

Şehirleşmenin yoğun olduğu bölgelerde, metro hatları ve yerüstü yapıların etkileşimi kritik önem taşır. Uzman ekibimiz, karmaşık metro-bina etkileşimlerini ileri teknoloji nümerik analizlerle değerlendirmektedir. 

Metro tünellerinin inşası ve işletimi sırasındaki zemin hareketlerini, mevcut ya da yeni inşaası planlanan yapılara olan etkilerini hassasiyetle analiz ediyoruz. Projenin her aşamasında, yapıların uzun vadeli dayanıklılığını ve güvenliğini sağlamak amacıyla hassas değerlendirmeler sunuyoruz.

Geoteknik Danışmanlık

Projelerinizin temelini sağlam atmanız için kapsamlı geoteknik danışmanlık hizmetleri sunuyoruz. Deneyimli ekibimiz, zemin etüt çalışmalarından başlayarak, geoteknik değerlendirme ve nümerik analizlere kadar geniş bir yelpazede uzmanlık sağlıyor. Karmaşık zemin koşullarında derin temel tasarımı, şev stabilite analizi ve sıvılaşma değerlendirmesi gibi kritik konularda her türlü geo-yapılar için çözümler üretiyoruz.

Derin Temel Hesap ve Tasarımları

Zorlu zemin koşullarında projelerinizin güvenliğini ve maksimum performansını sağlamak için derin temel tasarımını ekonomik olacak şekilde optimize ediyoruz. Uzman ekibimiz ve 15 yıllık sürekli mühendislik deneyimimizle her zemine uygun çözümler üreterek, en karmaşık projelerinizde size destek olacağız.

Derin temel tasarımı hizmetimiz kapsamında; talebiniz doğrultusunda zemin etüt ve analizleri titizlikle gerçekleştiriyor, projeniz için en uygun temel tipini seçiyor, gelişmiş yazılımlarla oluşturduğumuz otomasyonlar sayesinde hızlı bir şekilde statik ve dinamik analizler ve hesaplamaları gerçekleştirerek derin temel sisteminin taşıma kapasitesini ve deformasyon potansiyelini hassas bir şekilde hesaplıyoruz. Ayrıca, tüm teknik detayları ve uygulama adımlarını içeren kapsamlı bir temel tasarım projesi sunuyor ve derin temel sisteminin imalat aşamalarında da işverene teknik/uygulama danışmanlık hizmeti veriyoruz.

Derin temel tasarımı hizmetimizin avantajları arasında; güvenli ve sağlam yapılar inşa etme imkanı, zemin problemlerine çözüm sunma, maliyet tasarrufu sağlama ve zamanında teslimat gibi unsurlar yer alıyor. Yüksek binalar, köprüler, barajlar, kıyı/liman yapıları, tünel ve metro istasyonları, rüzgar türbinleri ve endüstriyel tesisler gibi çeşitli projelerde derin temel tasarımı hizmetimizle projenize özel çözümler üretiyoruz.

Tünel Tasarımı

Yeraltı projelerinde tünel tasarımı, yapının güvenliği ve uzun ömürlülüğü açısından hayati önem taşır. Uzman ekibimiz, geoteknik ve yapısal analizlerle tünel tasarımını en iyi şekilde optimize etmektedir. Her projede, detaylı jeolojik etütler ve saha çalışmaları gerçekleştirerek zemin koşullarını titizlikle belirliyoruz. Zemin karakteristikleri, yer altı suyu hareketleri ve çevresel faktörler gibi kritik parametreleri dikkatle analiz ederek tünel kazıları ve destek sistemlerinin tasarımını büyük bir hassasiyetle planlıyoruz.

Gelişmiş mühendislik yazılımları ve son teknoloji modelleme teknikleri kullanarak, zemin-tünel etkileşimini doğru bir şekilde simüle ediyoruz. Bu sayede, potansiyel riskleri minimize ediyor, yapıların maksimum performansla çalışmasını sağlıyoruz. Her adımda, projenin ekonomik ve sürdürülebilir çözümlerle tamamlanmasını hedefliyoruz.

Ayrıca, tünel yapım sürecinde karşılaşılabilecek sorunlara proaktif yaklaşımlar geliştiriyor, güvenlik standartlarına uygun çözümler sunuyoruz. Böylece, projelerin zamanında ve bütçe dahilinde tamamlanmasını garanti altına alıyoruz.

Tünel tasarımında bilgi birikimimiz ve tecrübemizle, yeraltı yapılarınıza güvenli, dayanıklı ve sürdürülebilir çözümler sunmak için buradayız.

Zemin İyileştirme Projeleri

Zayıf zemin koşulları, inşaat projelerinde oturma/taşıma gücü/sıvılaşma gibi açılardan büyük riskler oluşturabilir. Uzman ekibimiz, zemin iyileştirme projelerinde olabilecek en uygun yöntemleri kullanarak zeminin taşıma kapasitesini ve stabilitesini güvenilir bir şekilde artırır. Detaylı saha çalışmaları ve mühendislik analizleriyle zemin iyileştirme çözümleri sunuyoruz. Zemin iyileştirme teknikleriyle projenizin güvenliğini ve uzun ömürlülüğünü sağlamaktayız.

Kaya Düşme Analizleri

Yamaç ve dağlık bölgelerde kaya düşme riski, yapıların güvenliğini ciddi şekilde tehdit edebilir. Bu tür tehlikelerin önlenmesi için uzman ekibimiz, kaya düşme analizlerini ileri teknoloji yazılımlar kullanarak büyük bir titizlikle gerçekleştirir. Detaylı jeolojik haritalama ve saha incelemeleri yaparak, kaya düşme potansiyelini en güvenilir şekilde değerlendiriyoruz.

Kaya düşme riskine karşı alınacak önlemler, yerel jeolojik koşullar ve topografik özellikler göz önünde bulundurularak planlanır. Bu doğrultuda, risk altındaki bölgelerde etkili koruma yapıları tasarlıyoruz. Bariyer sistemleri, güçlendirme çözümleri ve eğim stabilizasyon teknikleri gibi çeşitli mühendislik yöntemleriyle güvenliğinizi temin ediyoruz.

Projelerimizde, hem kısa vadeli güvenlik ihtiyaçlarını hem de uzun vadeli yapı dayanıklılığını göz önünde bulunduruyoruz. Her aşamada, müşteri odaklı yaklaşımımızla, proje hedeflerinize uygun çözümler sunuyoruz. Böylece, kaya düşme riski taşıyan bölgelerde yapıların güvenliğini artırıyor ve doğal risklere karşı proaktif koruma sağlıyoruz.

Sıvılaşma Analizleri

Deprem sırasında zemin tabakalarının sıvılaşması, yapıların güvenliğini ciddi şekilde tehlikeye atabilir. Uzman ekibimiz, sıvılaşma analizlerini büyük bir titizlik ve hassasiyetle yürütmektedir. Detaylı zemin etütleri ve laboratuvar testleri ile zemin tabakalarının sıvılaşma potansiyelini özenle değerlendiriyoruz. Bu değerlendirmeler, zemin özelliklerinin kapsamlı bir şekilde anlaşılmasına ve riskli bölgelerin belirlenmesine olanak tanır.

Sismik analizler kullanarak sıvılaşmanın olası etkilerini modelleyip simüle ediyor, bu sayede yapıların güvenliğini tehdit edebilecek potansiyel tehlikeleri öngörebiliyoruz. Bu modellemeler ışığında, sıvılaşmanın etkilerini minimize etmek amacıyla önleyici tedbirler ve en uygun zemin iyileştirme yöntemlerini sunuyoruz. Bu tedbirler arasında, zemin güçlendirme teknikleri, drenaj sistemleri ve alternatif temel tasarımları gibi çeşitli mühendislik çözümleri yer almaktadır.

Amacımız, yapıların depreme karşı dayanıklılığını artırmak ve sıvılaşma riskini en aza indirerek güvenli bir yapı çevresi sağlamaktır. Sıvılaşma riski taşıyan bölgelerde, güvenlik ve dayanıklılık odaklı çözümlerimizle, yapıların uzun ömürlü ve güvenli olmasını garanti ediyoruz.